Find my publications on INSPIRE, ADS, and arXiv.


What is the nature of dark matter?
Does it interact with us by any force other than gravity?
How can such interactions imprint on astrophysical and cosmological observables?

These are the kinds of questions that I work to answer. I am broadly interested in dark matter phenomenology and cosmology, and my research has spanned topics such as constraining dark matter microphysics, primordial black holes, 21 cm cosmology, CMB spectral distortions, star formation, cosmological effective field theories, and stochastic gravitational wave backgrounds. For more details, see a list of my projects below!


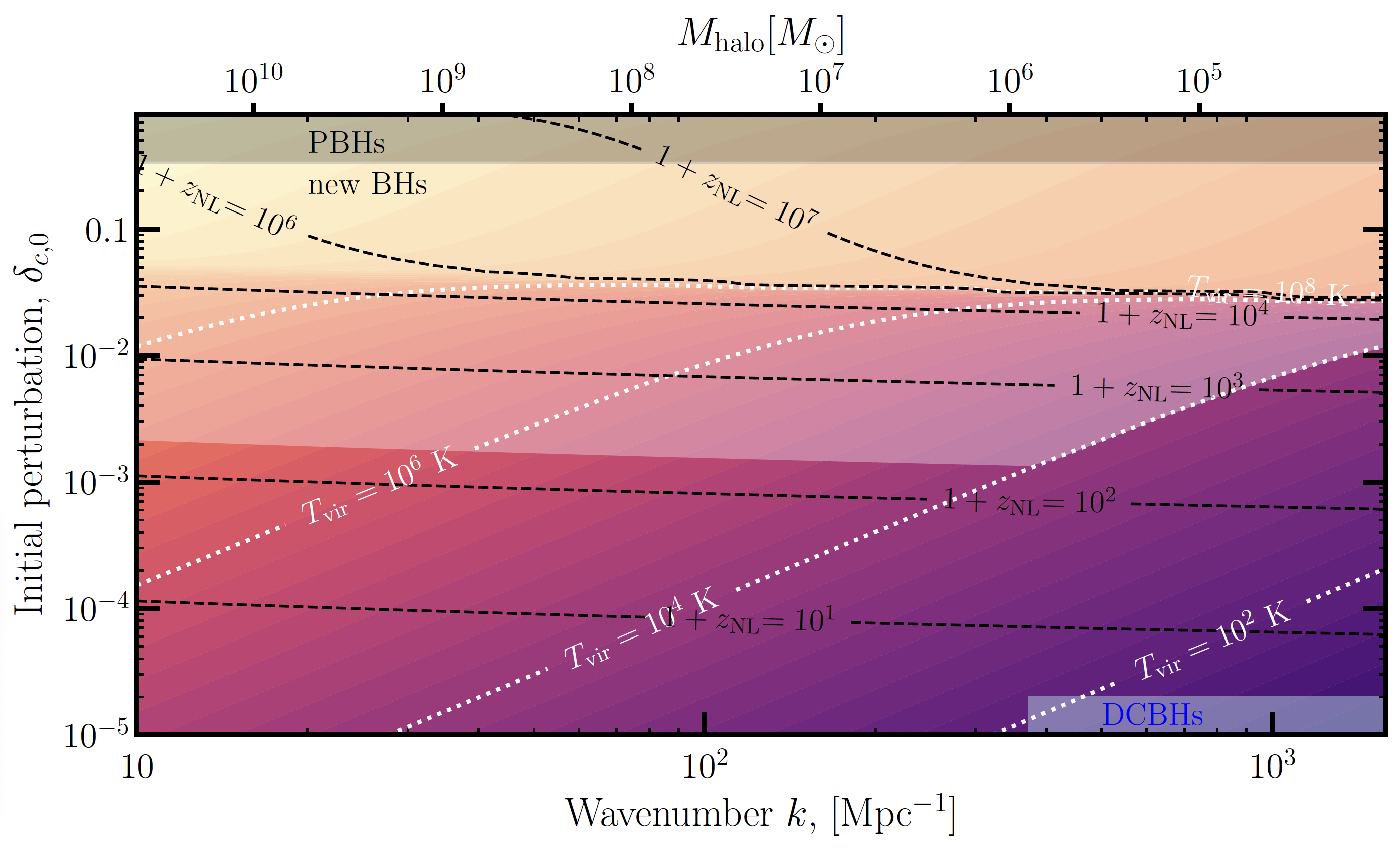
The change to the critical virial temperature required for halos to form stars over
the parameter space for dark matter that decays to electrons and positrons.

Formation of the first stars and black holes

With the advent of 21cm cosmology and launch of the James Webb Telescope, we are getting an initial look into the era of "Cosmic Dawn", when stars first began to form. The astrophysical processes by which stars (and black holes) form depend on the temperature and level of ionization of gas inside of early halos, and these quantities can also be affected by energy injection from e.g. decaying or annihilating dark matter. Hence, as we learn more about the history of star formation and the earliest existing black holes, we may also learn something about the fundamental nature of dark matter.

Relevant publications: W. Qin, J. B. Muñoz, H. Liu, and T. R. Slatyer. Birth of the first stars amidst decaying and annihilating dark matter. arXiv:2308.12992 [astro-ph.CO]
Dark matter and DarkHistory

Dark matter interactions with Standard Model particles, such as decay or annihilation, can inject a significant amount of energy into the early universe, producing observable changes in the global temperature and ionization histories, as well as the background spectrum of radiation. These changes can alter observables such as the blackbody spectrum of the cosmic microwave background and the temperature of the intergalactic medium (IGM). Using the DarkHistory code package, we can quantify these effects and set constraints on dark matter masses/interactions in a model-independent way.

Relevant publications: H. Liu, W. Qin, G. W. Ridgway, and T. R. Slatyer. Exotic energy injection in the early universe I: a novel treatment for low-energy electrons and photons. arXiv:2303.07366 [astro-ph.CO]

H. Liu, W. Qin, G. W. Ridgway, and T. R. Slatyer. Exotic energy injection in the early universe II: CMB spectral distortions and constraints on light dark matter. arXiv:2303.07370 [astro-ph.CO]

H. Liu, W. Qin, G. W. Ridgway, and T. R. Slatyer. Lyman-$\alpha$ Constraints on Cosmic Heating from Dark Matter Annihilation and Decay. Phys. Rev. D, 104(4):043514, 2021.
Effective field theory of 21cm cosmology

Now that experiments such as HERA are on the cusp of detecting the 21cm power spectrum, the ability to make theoretical predictions about the signal from reionization will be important for fully profiting from this new data. Previously, it was widely believed that the 21cm signal is nonperturbative and too difficult to treat analytically—however, recent studies have shown that an effective field theory description of 21cm radiation is valid at wavenumbers probed by experiments and ionization fractions less than ~0.8. We have further developed this effective field theory, e.g. by including the effect of redshift space distortions, since observations of the 21cm signal actually occur in redshift space. This is an important step for many future directions, such as incorporating spin temperature fluctuations, constraining new physics, and reconstructing modes lost to foregrounds.

Relevant publication: W. Qin, K. Schutz, A. Smith, E. Garaldi, R. Kannan, T. R. Slatyer, and M. Vogelsberger. An Effective Bias Expansion for 21 cm Cosmology in Redshift Space. Phys. Rev. D, 106(12):123506, 2022.
Primordial black holes from multifield inflation

Primordial black holes (PBHs) are of great interest today as dark matter candidates and potential seeds for supermassive black holes. It is generally agreed that black holes smaller than 10^17 g are ruled out because they evaporate too quickly to make up the dark matter abundance today, while black holes larger than 10^21 g are ruled out by microlensing and other constraints. In the window in between these constraints, it may still be possible for PBHs to make up all of the dark matter abundance. Previous studies have found that certain models of single-field inflation are able to generate spikes in the curvature power spectrum that can result in PBHs without spoiling agreement with CMB measurements, but generally require a high degree of fine-tuning. We are seeking to understand whether it is possible to generate this behavior more generically in multifield models.

Relevant publications:
W. Qin, S. Geller, S.Balaji, E. McDonough, and D. I. Kaiser. Planck Constraints and Gravitational Wave Forecasts for Primordial Black Hole Dark Matter Seeded by Multifield Inflation. arXiv:2303.02168 [astro-ph.CO]

S. Geller, W. Qin, E. McDonough, and D. I. Kaiser. Primordial Black Holes from Multifield Inflation with Nonminimal Couplings. Phys. Rev. D, 106(6):063535, 2022.
Gravitational waves and starlight

When gravitational waves interact with the light from stars, they can cause the time of the light's arrival to change, which is what pulsar timing arrays seek to measure, as well as deflect the light's trajectory, which manifests in astrometry as a fluctuation in the apparent positions of stars. These deviations will be correlated in certain patterns, depending on the polarizations of the incident waves. Knowing what these correlations look like can then allow us to disentangle signals from theories of modified gravity from the standard signal predicted by general relativity. Drawing an analogy to how one derives the statistics of cosmic microwave background polarization, we showed how one can construct the auto-correlations and cross-correlations of these observables. We also demonstrated that the power spectrum of observables induced by each polarization can be calculated with relative ease using total-angular-momentum waves, which provide an alternative to the plane wave basis that simplifies calculations on the sphere of the sky.

Relevant publications:
W. Qin, K. K. Boddy, and M. Kamionkowski. Subluminal stochastic gravitational waves in pulsar-timing arrays and astrometry. Phys. Rev. D, 103(2):024045, 2021.

W. Qin, K. K. Boddy, M. Kamionkowski, and L. Dai. Pulsar-timing arrays, astrometry, and gravitational waves. Phys. Rev. D, D99(6):063002, 2019.
Mira variables as distance indicators

Mira variables are useful distance indicators, due to their high luminosities and well-defined period-luminosity relation. Using SAAO and MACHO observations, we measured a distance to the Galactic center of 7.9 +- 0.3 kpc, which is in good agreement with other values. We also used theoretical models of Miras to examine the dependence of the period-luminosity relation on age, metallicity, and helium abundance. Assuming that the models we use are valid for Galactic Miras, we find that there is a non-negligible dependence on metallicity and helium, with a smaller effect from stellar age. Thus, as we strive to use Mira variables to make increasingly precise distance estimates, both within and outside of the Galaxy, accurately determining the variation of the period-luminosity relations from galaxy to galaxy will become more important.

Relevant publication: W. Qin, D. M. Nataf, N. Zakamska, P. R. Wood, and L. Casagrande. The Mira-based distance to the Galactic centre. The Astrophysical Journal, 865(1):47, August 2018.